
成熟果实脱把性是辣椒重要驯化性状之一,在辣椒加工产业具有重要潜在应用价值(图1)。近日,华南农业大学园艺学院胡开林/程蛟文课题组完成了辣椒成熟果实易脱把基因的精细定位、共分离分子标记开发以及重要候选基因——Capana10g002229的功能分析,相关成果发表在国际著名植物育种杂志Theoretical and Applied Genetics(中科院大类分区农林科学1区Top期刊,影响因子5.574)。

图1双亲及F1不同发育时期辣椒果实脱把性表型
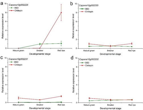
该研究首次将辣椒成熟果实易脱把基因座位精细定位至物理长度约38.03 kb的染色体区间,同时成功开发了可用于辅助选择育种的分子标记(图2)。进一步通过候选基因序列和表达比较分析(图3)以及病毒诱导基因沉默(图4)等分析,初步明确Capana10g002229为控制辣椒成熟果实脱把性的关键基因,该研究结果为深入阐明辣椒成熟果实脱把调控分子机理奠定了坚实基础。

图2 辣椒成熟果实脱把基因的精细定位图谱

图3 候选基因表达比较分析

图4 沉默Capana10g002229延缓辣椒果实成熟脱把
园艺学院已毕业博士研究生胡芳(现为韶关学院教师)为该论文第一作者,园艺学院胡开林教授和程蛟文副教授为共同通讯作者,韶关学院张少斌博士和广东省农业科学院蔬菜研究所宋钊博士参与了该项工作。该研究得到国家自然科学基金(U22A20497、32172564、31701921和31672162)、广东省重点领域研发计划(2022B0202080001)和广东省自然科学基金(2021A1515010931)等项目资助。
发布者:园艺学院
